|
|
|
This is a very powerful technique for investigating and understanding circuit behaviour and for correcting circuit faults.
|
|
|
|
|
|
|
|
|
An oscilloscope is easily the most useful instrument available for testing circuits because it allows you to see the signals at different points in the circuit. The best way of investigating an electronic system is to monitor signals at the input and output of each system block, checking that each block is operating as expected and is correctly linked to the next. With a little practice, you will be able to find and correct faults quickly and accurately.
An oscilloscope is
an impressive piece of kit:

The diagram shows a Hameg HM 203-6 oscilloscope, a popular instrument in UK schools. Your oscilloscope may look different but will have similar controls.
Faced with an instrument like this, students typically respond either by twiddling every knob and pressing every button in sight, or by adopting a glazed expression. Neither approach is specially helpful. Following the systematic description below will give you a clear idea of what an oscilloscope is and what it can do.
The function of an oscilloscope is extremely simple: it draws a V/t graph, a graph of voltage against time, voltage on the vertical or Y-axis, and time on the horizontal or X-axis.
As you can see, the screen of this oscilloscope has 8 squares or divisions on the vertical axis, and 10 squares or divisions on the horizontal axis. Usually, these squares are 1 cm in each direction:
Many of the controls of the oscilloscope allow you to change the vertical or horizontal scales of the V/t graph, so that you can display a clear picture of the signal you want to investigate. 'Dual trace' oscilloscopes display two V/t graphs at the same time, so that simultaneous signals from different parts of an electronic system can be compared.
1. Someone else may have been twiddling knobs and pressing buttons before you. Before you switch the oscilloscope on, check that all the controls are in their 'normal' positions. For the Hameg HM 203-6, this means that:
all push button switches are in the OUT position
all slide switches are in the UP position
all rotating controls are CENTRED
the central TIME/DIV and VOLTS/DIV and the HOLD OFF controls are in the calibrated, or CAL position
Check through all the controls and put them in these positions:

2. Set both VOLTS/DIV controls to 1 V/DIV and the TIME/DIV control to 2 s/DIV, its slowest setting:
|
|
|
| VOLTS/DIV | TIME/DIV |
3. Switch ON,
red button, top center:

The green LED illuminates and, after a few moments, you should see a small bright spot, or trace, moving fairly slowly across the screen.

What happens when you twiddle this?
The Y-POS 1 allows you to move the spot up and down the screen. For the present, adjust the trace so that it runs horizontally across the center of the screen.
5. Now investigate the INTENSITY and FOCUS controls:

When these are correctly set, the spot will be reasonably bright but not glaring, and as sharply focused as possible. (The TR control is screwdriver adjusted. It is only needed if the spot moves at an angle rather than horizontally across the screen with no signal connected.)
6. The TIME/DIV control determines the horizontal scale of the graph which appears on the oscilloscope screen.
With 10 squares across the screen and the spot moving at 0.2 s/DIV, how long does it take for the spot to cross the screen? The answer is 0.2 x 10 = 2 s. Count seconds. Does the spot take 2 seconds to cross the screen?
Now rotate the TIME/DIV control clockwise:

With the spot moving at 0.1 s/DIV, it will take 1 second to cross the screen.
Continue to rotate TIME/DIV clockwise. With each new setting, the spot moves faster. At around 10 ms/DIV, the spot is no longer separately visible. Instead, there is a bright line across the screen. This happens because the screen remains bright for a short time after the spot has passed, an effect which is known as the persistence of the screen. It is useful to think of the spot as still there, just moving too fast to be seen.
Keep rotating TIME/DIV. At faster settings, the line becomes fainter because the spot is moving very quickly indeed. At a setting of 10 µs/DIV how long does it take for the spot to cross the screen?
7. The VOLTS/DIV controls determine the vertical scale of the graph drawn on the oscilloscope screen.
Check that VOLTS/DIV 1 is set at 1 V/DIV and that the adjacent controls are set correctly:

The Hameg HM 203-6 has a built in source of signals which allow you to check that the oscilloscope is working properly. A connection to the input of channel 1, CH 1, of the oscilloscope can be made using a special connector called a BNC plug, as shown below:
The diagram shows a lead with a BNC plug at one end and crocodile clips at the other. When the crocodile clip from the red wire is clipped to the lower metal terminal, a 2 V square wave is connected to the input of CH 1.
Adjust VOLTS/DIV and TIME/DIV until you obtain a clear picture of the 2 V signal, which should look like this:

Check on the effect of Y-POS 1 and X-POS:
![]() |
![]() |
![]() |
![]() |
What do these controls do?
Y-POS 1 moves the whole trace vertically up and down on the screen, while X-POS moves the whole trace from side to side on the screen. These control are useful because the trace can be moved so that more of the picture appears on the screen, or to make measurements easier using the grid which covers the screen.
You have now learned about and used the most important controls on the oscilloscope.
You know that the function of an oscilloscope is to draw a V/t graph. You know how to put all the controls into their 'normal' positions, so that a trace should appear when the oscilloscope is switched on. You know how the change the horizontal scale of the V/t graph, how to change the vertical scale, and how to connect and display a signal.
What is needed now is practice so that all of these controls become familiar.
|
|
The diagram shows the appearance of a Thandar TG101 function generator, one of many types used in UK schools:

Again, your function generator, or signal generator, may look different but is likely to have similar controls.
The Thandar TG101
has push button controls for On/Off switching and for selecting either sine,
square, or triangular wave shapes. Most often the 600
output is used. This can be connected to the CH 1 input of the oscilloscope
using a BNC-BNC lead, as follows:

Switch on the function generator and adjust the output level to produce a visible signal on the oscilloscope screen. Adjust TIME/DIV and VOLTS/DIV to obtain a clear display ond investigate the effects of pressing the waveform shape buttons.
The rotating FREQUENCY control and the RANGE switch are used together to determine the frequency of the output signal. With the settings shown in the diagram above, the output frequency will be 1 kHz. How would you change these setting to obtain an output frequency of 50 Hz? This is done by moving the RANGE switch to '100' and the FREQUENCY control to '.5':

Experiment with these controls to produce other frequencies of output signal, such as 10 Hz, or 15 kHz. Whatever frequency and amplitude of signal you select, you should be able to change the oscilloscope settings to give a clear V/t graph of the signal on the oscilloscope screen.
The remaining features of the function generator are less often used. For example, it is possible to change the output frequency by connecting suitable signals to the 'Sweep in' input. The DC Offset switch and the Offset control allow you to add a DC voltage component to the output signal producing a complex waveform.
The output level switch is normally set to 0 dB:

This gives an output signal with a peak amplitude which can be easily adjusted up to several volts. In the -40 dB position, the amplitude of the output signal is reduced to a few millivolts. Such small signals are used for testing amplifier circuits.
The TTL output produces pulses between 0 V and 5 V at the selected frequency and is used for testing logic circuits.
This part of the Practical is an investigation of microphones, audio signals and amplifiers, intended to develop your prototype board skills and giving you experience of using the oscilloscope to monitor signals in a simple circuit. (The operational amplifier circuit used is explained fully in Chapter ?)
The diagram shows an easily available type of microphone, called a cermet microphone:

The microphone has separate + and 0 V connections. Can you see that the 0 V connection is connected to the metal case? Check these connections on the real component.
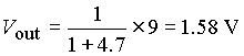
To get the microphone to work, you need to provide a voltage across it using a voltage divider circuit:

From the voltage divider formula, the voltage expected across the microphone is:
![]() |
Substituting:

Build the voltage divider part of the ciruit on prototype boards as follows:
Measure the voltage between the resistors. How closely does the measured value agree with the calculated one?
![]()
Small differences can arise if you have not adjusted the power supply voltage to exactly 9 V and also because the resistors may not have precisely their marked values. Remember, resistors are manufactured to a tolerance, usually ±5%, so that their values are not exact.
Now add the microphone to the circuit, taking care to get its + and 0 V connections the right way round:
Usually, this results in a small decrease
in the voltage divider voltage, because the microphone is now in parallel with
the 1
resistor. In other words, Rbottom
is reduced. Another way of explaining this is to say that some of the current
flows through the microphone, leaving a little less flowing through the 1
.
Check the polarity of a 4.7 µF or 10 µF capacitor (longer leg positive, stripe negative) and connect this as indicated below:
In this circuit, the capacitor blocks DC voltages, but allows AC voltages, including audio signal, to pass. You will find out more about this in Chapter 5.
The arrangement outlined below is a very convenient way of setting up an oscilloscope to make measurements from the prototype circuit:

Once the crocodile clip corresponding to the black lead has been connected to 0 V, it can be ignored. This leaves the test probe which can be connected to any point in the circuit to monitor the signals present.
Connect the test probe to the prototpye circuit as indicated. Increase the sensitivity of the VOLTS/DIV control by rotating it clockwise until you can see changes on the oscilloscope screen when you talk into the microphone. Adjust TIME/DIV until the shape of the signals is clear. In the space below, make a drawing to represent the V/t graph of an audio signal:
![]()
How large is your signal in mV, peak-to-peak amplitude?
![]()
What sort of signal is produced if you clap your hands within range of the microphone?
![]()
When you talk into the microphone, the signals you get are small. To make them bigger, you need an amplifier. One possible circuit is shown below. This uses a 741, one of a large family of integrated circuits called operational amplifiers, or op-amps:
![]() pin connections of a 741 op-amp |
![]() |
The internal circuit of a 741 is quite complicated but it is easy to use the device simply as an amplifying subsystem. It is cheap and easily available. As you can see, the 741 is manufactured in a small plastic package, with 8 connecting pins. These are in a dual in line, or dil arrangement. With the index mark at the top, pin 1 is on the left and pins are numbered down the left hand side and back up on the right. Often, there is an additional circular mark next to pin 1. This numbering convention is followed on other integrated circuits, whether there are 8, 14, 16, or more pins.
Place the 741 across the central gap in the prototype board. Check that pin 1 is correctly located. Now complete the circuit, as follows:

If your power supply does not have dual power supply outputs, the +9 V, 0 V, -9 V required can easily be made using two PP3 batteries, connected to the prototype board like this:

If you are unfamiliar with this type of power supply, use a multimeter as a voltmeter, with its black lead connected to 0 V, and touching the positive and negative supply points in turn with the red lead. In one case, the meter will read approximately +9 V, and in the other, approximately -9 V.
Check back with your prototype board and make sure that you have linked the SENSOR subsystem to the AMPLIFIER with a wire link. Monitor the final output of the system using the oscilloscope. How large are your signals now?
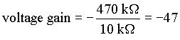
The voltage gain of the amplifier is given by:
![]() |
The way in which this particular op-amp circuit works allows you to choose the voltage gain according to:
![]() |
The minus sign appears because this is an inverting amplifier circuit, that is, the output waveform has the same shape as the input waveform, but is turned upside down, or inverted, compared with the input waveform. What matters here is that the amplitude of the waveform is increased.
The voltage gain of the circuit is calculated from:

Vout is inverted and the amplitude of the signal is increased by 47 times. Vout after the amplifier should be 47 times larger than the signal from the microphone subsystem. Do your observations using the oscilloscope confirm these changes?
![]()
Work through your circuit again using the oscilloscope to monitor the audio signal at different points in the circuit.
You are learning something important here. Devloping a circuit is a progressive process. You start with simple subsytems on prototype board and investigate the performance of each subsystem before building the next. There is no point in connecting an amplifier subsystem to a sound sensor which does not work. You need to know that the sound sensor is working correctly before building the next stage.
An outline explanation of how an oscilloscope works can be given using the block diagram shown below:

Like a televison screen, the screen of an oscilloscope consists of a cathode ray tube. Although the size and shape are different, the operating principle is the same. Inside the tube is a vacuum. The electron beam emitted by the heated cathode at the rear end of the tube is accelerated and focused by one or more anodes, and strikes the front of the tube, producing a bright spot on the phosphorescent screen.
The electron beam is bent, or deflected, by voltages applied to two sets of plates fixed in the tube. The horizontal deflection plates, or X-plates produce side to side movement. As you can see, they are linked to a system block called the time base. This produces a sawtooth waveform. During the rising phase of the sawtooth, the spot is driven at a uniform rate from left to right across the front of the screen. During the falling phase, the electron beam returns rapidly from right ot left, but the spot is 'blanked out' so that nothing appears on the screen.
In this way, the time base generates the X-axis of the V/t graph.
The slope of the rising phase varies with the frequency of the sawtooth and can be adjusted, using the TIME/DIV control, to change the scale of the X-axis. Dividing the oscilloscope screen into squares allows the horizontal scale to be expressed in seconds, milliseconds or microseconds per division (s/DIV, ms/DIV, µs/DIV). Alternatively, if the squares are 1 cm apart, the scale may be given as s/cm, ms/cm or µs/cm.
The signal to be displayed is connected to the input. The AC/DC switch is usually kept in the DC position (switch closed) so that there is a direct connection to the Y-amplifier. In the AC position (switch open) a capacitor is placed in the signal path. As will be explained in Chapter 5, the capacitor blocks DC signals but allows AC signals to pass.
The Y-amplifier is linked in turn to a pair of Y-plates so that it provides the Y-axis of the the V/t graph. The overall gain of the Y-amplifier can be adjusted, using the VOLTS/DIV control, so that the resulting display is neither too small or too large, but fits the screen and can be seen clearly. The vertical scale is usually given in V/DIV or mV/DIV.
The trigger circuit is used to delay the time base waveform so that the same section of the input signal is displayed on the screen each time the spot moves across. The effect of this is to give a stable picture on the oscilloscope screen, making it easier to measure and interpret the signal.
Changing the scales of the X-axis and Y-axis allows many different signals to be displayed. Sometimes, it is also useful to be able to change the positions of the axes. This is possible using the X-POS and Y-POS controls. For example, with no signal applied, the normal trace is a straight line across the centre of the screen. Adjusting Y-POS allows the zero level on the Y-axis to be changed, moving the whole trace up or down on the screen to give an effective display of signlas like pulse waveforms whihc do not alternate between positive and negative values.
The diagram below is a image map of the Hameg HM 203-6 oscilloscope. Some controls are more useful than others and one or two are rarely if ever used in an introductory electronics course.

screen: usually displays a V/t graph, with voltage V on the vertical axis and time t on the horizontal axis. The scales of both axes can be changed to display a huge variety of signals.
on/off switch: pushed in to switch the oscilloscope on. The green LED illuminates.
X-Y control: normally in the OUT position.
When the X-Y button is pressed IN, the oscilloscope does not display a V/t graph. Instead, the vertical axis is controlled by the input signal to CH II. This allows the oscilloscope to be used to display a V/V voltage/voltage graph.
The X-Y control is used when you want to display component characteristic curves, or Lissajous figures. (Links to these topics will be added later.)
TV-separation: Oscilloscopes are often used to investigate waveforms inside television systems. This control allows the display to be synchronised with the televsion system so that the signals from different points can be compared.
![]()
You must not try to investigate television systems because of
the dangerously high voltages inside. The correct postion for this control is
OFF.
TIME / DIV: Allows the horizontal scale of the V/t graph to be changed.
trigger controls: This group of controls allows the oscilloscope display to be synchronised with the signal you want to investigate.
![]() |
![]() |
When the AT/NORM button is in the OUT position, triggering is automatic. This works for most signals.
If you change the AT/NORM button to its IN position, the most likely result is that the signal will disappear and the oscilloscope screen will be blank. However, if you now adjust the LEVEL control, the display will be reinstated. As you adjust the LEVEL control, the display starts from a different point on the signal waveform. This makes it possible for you to look in detail at any particular part of the waveform.
The EXT button should normally be in its OUT position. When it is pushed IN, triggering occurs from a signal connected to the trigger input, TRIG INP, socket.
The slide switch to the left of TIME/DIV gives additional triggering options. AC is the normal postion and is suitable for most waveforms.
In the DC position, you use the LEVEL control to select a particular DC voltage on the signal waveform where triggering will occur.
The +/- button gives triggering on the upward slope of the signal waveform in the OUT position, and triggering on the downward slope in the IN position.
The green TRIG LED illuminates when a trigger point is detected.
HF gives triggering in
response to high frequency parts of the signal, LF gives triggering for low
frequency components and
indicates that triggering
will occur at 50 Hz, corresponding to UK mains frequency. You are not likely to
need any of these slide switch positions.
The HOLD OFF control allows you to introduce a delay relative to the trigger point so that a different part of the signal can be seen.
Normally, you will want to leave the HOLD OFF control in its minimum position, as illustrated.
With more experience of using the oscilloscope, you will develop a clear understanding of the functions of the important trigger controls and be able to use them effectively.
intensity and focus: Adjusting the INTENSITY control changes the brightness of the oscilloscope display. The FOCUS should be set to produce a bright clear trace.
If required, TR can be adjusted using a small screwdriver so that the oscilloscope trace is exactly horizontal when no signal is connected.
X-POS: Allows the whole V/t graph to be moved from side to side on the oscilloscope screen.
This is useful when you want to use the grid in front of the screen to make measurements, for example, to measure the period of a waveform.
X-MAG: In the IN position, the horizontal scale of the V/t graph is increased by 10 times. For example, if TIME/DIV is set for 1 ms per division and X-MAG is pushed IN, the scale is changed to 0.1 ms per division.
CAL outputs: The top terminal gives a 0.2 V peak to peak square wave, while the lower terminal gives a 2 V peak to peak square wave, both at 50 Hz.
The signals from these outputs are used to confirm that the oscilloscope is correctly calibrated.
component tester: The output socket provides a changing voltage which allows component characteristic curves to be displayed on the oscilloscope screen.
When the button is IN, the oscilloscope displays a V/V graph, with the component tester voltage connected internally to provide the horizontal axis.
To get normal V/t graph operation the component tester button must be in the OUT position.
Y-POS I and Y-POS II: These controls allow the corresponding trace to be moved up or down, changing the position representing 0 V on the oscilloscope screen.
To investigate an alternating signal, you adjust Y-POS so that the 0 V level is close to the centre of the screen. For a pulse waveform, it is more useful to have 0 V close to the bottom of the screen.
Y-POS I and Y-POS II allow the 0 V levels of the two traces to be adjusted independently.
invert: When the INVERT button is pressed IN, the corresponding signal is turned upside down, or inverted, on the oscilloscope screen.
This feature is sometimes useful when comparing signals.
.CH I and CH II inputs: Signals are connected to the BNC input sockets using BNC plugs.
The smaller socket next to the BNC input socket provides an additional 0 V, GROUND or EARTH connection.
VOLTS / DIV: Adjust the vertical scale of the V/t graph. The vertical scales for CH I and CH II can be adjusted independently.
DC/AC/GND slide switches: In the DC position, the signal input is connected directly to the Y-amplifier of the corresponding channel, CH I or CH II. In the AC position, a capacitor is connected into the signal pathway so that DC voltages are blocked and only changing AC signals are displayed.
In the GND position, the input of the Y-amplfier is connected to 0 V. This allows you to check the position of 0 V on the oscilloscope screen.
The DC position of these switches is correct for most signals.
trace selection switches: The settings of these switches control which traces appear on the oscilloscope screen.
The effects of different settings are summarised in the table:
| CH I/II | DUAL | ADD | effect of setting |
| OUT | OUT | OUT |
normal operation: only CH I displayed, triggering from CH I |
| IN | OUT | OUT | only CH II displayed, triggering from CH II |
| OUT | IN | OUT | CH I and CH II displayed on alternate sweeps, triggering from CH I |
| IN | IN | OUT | CH I and CH II displayed on alternate sweeps, triggering from CH II |
| OUT | OUT | IN | CH I and CH II signals added together to produce a single trace, triggering from CH I |
| IN | OUT | IN | CH I and CH II signals added together to produce a single trace, triggering from CH II |
| OUT | IN | IN | CH I and CH II displayed simultaneously, triggering from CH I |
| IN | IN | IN | CH I and CH II displayed simultaneously, triggering from CH II |
Settings highlighted in yellow are used frequently. Experience with the oscilloscope will help you to decide which setting is best for a particular application.
For normal operation, all three buttons are in the OUT position.
|
|
Collin's Home Page Colin's Amateur Radio Page Colin's Snooker Page Colin's Guest Book Contact Me About Me
This Web page was last updated on Friday September 21, 2001
© 2001 Designed by Colin McCord